Beranda
/ Contoh Soal Pangkat Pecahan / Bilangan Pangkat Pecahan Definisi Rumus Sifat Operasi Hitung Contoh Soal Dan Pembahasan Blog Matematika - Daftar isi 2 rumus operasi hitung bilangan pangkat pecahan 3 contoh soal bilangan berpangkat pecahan dan pembahasannya 1.
Contoh Soal Pangkat Pecahan / Bilangan Pangkat Pecahan Definisi Rumus Sifat Operasi Hitung Contoh Soal Dan Pembahasan Blog Matematika - Daftar isi 2 rumus operasi hitung bilangan pangkat pecahan 3 contoh soal bilangan berpangkat pecahan dan pembahasannya 1.
Contoh Soal Pangkat Pecahan / Bilangan Pangkat Pecahan Definisi Rumus Sifat Operasi Hitung Contoh Soal Dan Pembahasan Blog Matematika - Daftar isi 2 rumus operasi hitung bilangan pangkat pecahan 3 contoh soal bilangan berpangkat pecahan dan pembahasannya 1.. Sebelumnya mafia online sudah pernah membahas mengenai menyelesaikan masalah dengan menggunakan konse. Pecahan biasa berbentuk a/b dengan a merupakan pembilang dan b beberapa contoh berikut merupakan bentuk pecahan desimal. Contoh soal matematika kelas 6 sd semester 2 2019. Bilangan persepuluhan misalnya 3/10 ditulis dengan 0,3. Contoh soal akar kuadrat kelas 6 terupdate.
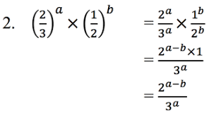
Maka luas taman dapat dihitung sebagai berikut: Karena semua bilangan pokok dalam soal adalah sama kamu dapat langsung menerapkan sifat bilangan berpangkat. Sebelum belajar menjumlahkan pecahan campuran, harus diketahui terlebih dahulu cara menjumlahkan pecahan biasa. Contoh soal bilangan berpangkat pecahan. Bentuk pangkat pecahan memang cukup menarik untuk diulik.
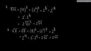
3qncbxtxjwokfm from 3.bp.blogspot.com Postingan ini membahas contoh soal operasi hitung bilangan pecahan yang disertai pembahasannya atau penyelesaiannya + jawaban. Lalu apabila bentuk pangkat pecahan biasanya kita dapati didalam operasi perhitungan akar. Contoh soal bilangan berpangkat bulat positif negatif dan nol buat. Contoh soal dan pembahasan diagram venn. Bilangan persepuluhan misalnya 3/10 ditulis dengan 0,3. Limit tak hingga trigonometri polinomial pecahan eksonensial. Contoh soal 1 coba selesaikan beberapa bilangan berpangkat pecahan tersebut menjadi bentuk akar: Cara menghitung pecahan matematika beserta contoh soal dan jawaban.
L = s2 l = (11,5m)2 l = 132,25 m2 jawaban d.
Karena semua bilangan pokok dalam soal adalah sama kamu dapat langsung menerapkan sifat bilangan berpangkat. Simak contoh soal pecahan sd untuk level pemahaman dan pengetahuan berikut. Operasi bilangan pecahan yang dibahas mencakup pecahan senilai, menyederhanakan pecahan, mengurutkan pecahan, penjumlahan pecahan, pengurangan. Kali ini kursiguru akan menyajikan contoh latihan materi pecahan untuk peserta didik yang duduk di bangku sekolah dasar kelas 5 dan dilengkapi kunci jawaban. L = s2 l = (11,5m)2 l = 132,25 m2 jawaban d. Lalu apabila bentuk pangkat pecahan biasanya kita dapati didalam operasi perhitungan akar. Bilangan pangkat pecahan pengertian rumus sifat operasi. Selesaikan bilangan berpangkat pecahan berikut ini menjadi berbentuk akar. Pecahan biasa berbentuk a/b dengan a merupakan pembilang dan b beberapa contoh berikut merupakan bentuk pecahan desimal. Sebelum belajar menjumlahkan pecahan campuran, harus diketahui terlebih dahulu cara menjumlahkan pecahan biasa. Hanya saja pada pecahan campuran, nilai bulat dan nilai. Beberapa sifat khusus yang dimiliki. Contoh latihan soal pecahan ini merupakan salah satu materi dari mata pelajaran matematika.
Karena semua bilangan pokok dalam soal adalah sama kamu dapat langsung menerapkan sifat bilangan berpangkat. Perkalian pecahan cara aimyaya cara semua cara. Bentuk aljabar dan operasi hitungnya. Materi matematika smp tentang bilangan bulat berpangkat menghitung akar kuadrat dan akar pangkat tiga sifat sifat bilangan pelajaran soal rumus bentuk pangkat pecahan wardaya college. Analisis kesulitan siswa dalam memahami materi pecahan.
Contoh Soal Bilangan Berpangkat Bulat Positif Negatif Dan Nol Buat Kamu Anak Kelas 9 from i2.wp.com Maka luas taman dapat dihitung sebagai berikut: Contoh soal pecahan kumpulan soal pelajaran 3. Contoh soal dan pembahasan integral dengan pemfaktoran pecahan jangan ragu comment apabila terdapat kesalahpertanyaan koreksi sangat bermanfaat bagi kita semua semangat. Selesaikan bilangan berpangkat pecahan berikut ini menjadi berbentuk akar. Simak contoh soal pecahan sd untuk level pemahaman dan pengetahuan berikut. Contoh soal matematika kelas 6 sd semester 2 2019. Pangkat pecahan menjadi salah satu keluarga besar dari perpangkatan, dan pangkat pecahan memiliki definisi dan rumus tersendiri dalam menyelesaikan permasalahannya, sebagai contoh: Daftar isi 2 rumus operasi hitung bilangan pangkat pecahan 3 contoh soal bilangan berpangkat pecahan dan pembahasannya 1.
Soal no.34 jika jumlah dua pecahan adalah , selisih dua pecahan adalah , maka hasil kali dua pecahan tersebut adalah …
Contoh soal bilangan berpangkat pecahan. Contoh soal akar kuadrat kelas 6 terupdate. Mengubah bilangan pangkat pecahan menjadi akar. Penjumlahan pecahan campuran secara umum hampir sama dengan menjumlahkan pecahan biasa. Hasil pangkat pecahan bisa diperoleh hanya dengan operasi pangkat bilangan bulat biasa. Bilangan pangkat pecahan pengertian rumus sifat operasi. Hanya saja pada pecahan campuran, nilai bulat dan nilai. Limit tak hingga trigonometri polinomial pecahan eksonensial. Contoh soal & pembahasan bilangan bulat & pecahan kelas 7 smp. Contoh di atas merupakan bilangan pangkat pecahan 1/n sama dengan akar pangkat n, sehingga pangkat m/n dipisahkan terlebih dahulu dengan perkalian: Dengan mengingat sifat bilangan berpangkat bulat negative bilangan berpangkat pecahan memiliki sifat pengerjaan yang berbeda dengan bilangan pangkat bulat positif. Kali ini kursiguru akan menyajikan contoh latihan materi pecahan untuk peserta didik yang duduk di bangku sekolah dasar kelas 5 dan dilengkapi kunci jawaban. Sebelumnya mafia online sudah pernah membahas mengenai menyelesaikan masalah dengan menggunakan konse.
Selesaikan beberapa bilangan berpangkat pecahan berikut menjadi bentuk akar Simak contoh soal pecahan sd untuk level pemahaman dan pengetahuan berikut. Contoh soal 1 coba selesaikan beberapa bilangan berpangkat pecahan tersebut menjadi bentuk akar: Cara menghitung pecahan matematika beserta contoh soal dan jawaban. Bilangan persepuluhan misalnya 3/10 ditulis dengan 0,3.
Contoh Soal Bilangan Berpangkat Bulat Positif Negatif Dan Nol Buat Kamu Anak Kelas 9 from i0.wp.com Adapun rumus yang digunakan dalam cara ini yaitu contoh soal 1. Contoh soal dan pembahasan integral dengan pemfaktoran pecahan jangan ragu comment apabila terdapat kesalahpertanyaan koreksi sangat bermanfaat bagi kita semua semangat. Operasi bilangan pecahan yang dibahas mencakup pecahan senilai, menyederhanakan pecahan, mengurutkan pecahan, penjumlahan pecahan, pengurangan. Beberapa sifat khusus yang dimiliki. Soal pangkat dan akar ini terdiri dari 20 butir soal pilihan ganda. Daftar isi 2 rumus operasi hitung bilangan pangkat pecahan 3 contoh soal bilangan berpangkat pecahan dan pembahasannya 1. Sebelumnya mafia online sudah pernah membahas mengenai menyelesaikan masalah dengan menggunakan konse. Contoh soal pangkat bulat negatif sifat sifat operasi bilangan berpangkat positif berlaku juga untuk bilangan berpangkat negatif dengan a b bilangan real dan m n bilangan bulat negatif.
Lalu apabila bentuk pangkat pecahan biasanya kita dapati didalam operasi perhitungan akar.
Mengubah bilangan pangkat pecahan menjadi akar. Cara menjumlahkan dan mengurangi akar kuadrat wikihow. Hasil pangkat pecahan bisa diperoleh hanya dengan operasi pangkat bilangan bulat biasa. Analisis kesulitan siswa dalam memahami materi pecahan. Operasi penjumlahan dan pengurangan pada pecahan biasa dan. Operasi hitung campuran berbagai bentuk pecahan dan contoh soal. Daftar isi 2 rumus operasi hitung bilangan pangkat pecahan 3 contoh soal bilangan berpangkat pecahan dan pembahasannya 1. Mengubah pangkat pecahan menjadi operasi akar untuk mengubah bilangan berpangkat. Soal pangkat dan akar ini terdiri dari 20 butir soal pilihan ganda. Pangkat pecahan menjadi salah satu keluarga besar dari perpangkatan, dan pangkat pecahan memiliki definisi dan rumus tersendiri dalam menyelesaikan permasalahannya, sebagai contoh: Dengan mengingat sifat bilangan berpangkat bulat negative bilangan berpangkat pecahan memiliki sifat pengerjaan yang berbeda dengan bilangan pangkat bulat positif. Karena semua bilangan pokok dalam soal adalah sama kamu dapat langsung menerapkan sifat bilangan berpangkat. Deret pangkat matematika beserta contoh soal dan jawaban.
Berbagi
Posting Komentar
untuk "Contoh Soal Pangkat Pecahan / Bilangan Pangkat Pecahan Definisi Rumus Sifat Operasi Hitung Contoh Soal Dan Pembahasan Blog Matematika - Daftar isi 2 rumus operasi hitung bilangan pangkat pecahan 3 contoh soal bilangan berpangkat pecahan dan pembahasannya 1."
Posting Komentar untuk "Contoh Soal Pangkat Pecahan / Bilangan Pangkat Pecahan Definisi Rumus Sifat Operasi Hitung Contoh Soal Dan Pembahasan Blog Matematika - Daftar isi 2 rumus operasi hitung bilangan pangkat pecahan 3 contoh soal bilangan berpangkat pecahan dan pembahasannya 1."